《Acta Materialia》:铝硅酸盐玻璃的韧脆转变原因!
2023-05-19
在机械载荷下,玻璃可以以完全不同的方式破裂,即由裂纹的灾难性扩展引发的脆性断裂和以明显的塑性变形为主的韧性断裂。根据实验和模拟中的结构,可以观察到各种类型玻璃的韧性到脆性转变。了解玻璃的结构特征与断裂行为之间的关系对于凝聚态物理和材料科学都重要。对于结晶材料,延展性通常由位错的运动控制,从而导致宏观剪切带的形成。这种行为不同于玻璃,因为它们缺乏长程有序,因为玻璃中的基本塑性事件通常被识别为局部重排而不是错位。为了建立结构-性能关系,近年来提出了与玻璃中的塑性事件相关的各种类型的结构特征。尽管这些结构预测因子可以捕获重排位置的倾向,但从这些方法获得的结构-特性关系是局部的,因此缺乏对发生在更大长度范围内的重排和相应相互作用的描述。无定形材料可以根据其原子结构表现出不同程度的纳米级延展性。尽管它对应用重要,但控制延展性的物理起源在很大程度上仍然未知。
来自美国加州大学洛杉矶分校的学者通过使用分子动力学模拟,研究了氧化物玻璃的韧性到脆性转变作为原子网络连通性的函数。有趣的是,基于拓扑约束理论,本研究表明韧性-脆性转变的结构起源是由应力-刚性原子团簇的渗流引起的刚性转变。本研究对四点相关函数的进一步分析表明,与过冷液体的情况类似,室温下氧化物玻璃的塑性动力学具有很强的相关性和空间异质性。令人惊讶的是,当应力-刚性簇渗透时,塑性事件的动态长度尺度显着减小,从而导致更窄的瞬态塑性重排区域。这些结果提供了对玻璃的原子结构拓扑特征、断裂行为和应力诱导的动力学异质性之间关系的物理见解。相关文章以“The brittle-to-ductile transition in aluminosilicate glasses is driven by topological and dynamical heterogeneity”标题发表在Acta Materialia。
论文链接:
https://www.sciencedirect.com/science/article/pii/S1359645423000721


图 1. 脆性到韧性转变的证据。(a) 所选铝硅酸盐玻璃组合物的应力-应变曲线。(b–d) SiO2 分数对铝硅酸盐玻璃的 (b) 断裂能、(c) 塑性能和 (d) 脆性的影响。线条引导眼睛。(e) 所选组合物在应变值分别为 ε = 0.09 和 ε = 0.14 时的非仿射方位移等值线图

图 2. 应力-刚性簇的成分诱导渗流。(a–c) (a) 柔性、(b) 等静压和 (c) 应力-刚性单元的示意图。(d,e) (d) 非渗透和 (e) 渗透系统中至大的应力刚性簇的大小。(f) 作为组成函数的渗滤概率。

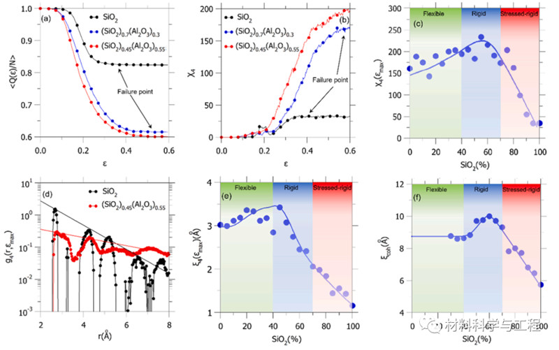
图 3. 由刚度转变控制的动态长度尺度。(a) 归一化重叠函数 Q 和 (b)磁化率 χ4 作为选定组合物应变 ε 的函数。(c) χ4 作为成分的函数。(d) 在应变 εmax 处的四点相关函数 g4 曲线,导致至大 χ4。实线代表指数拟合。(e) 提取的四点相关长度 ξ4 和 (f) 相干长度 ξcoh 作为成分的函数。图中的实线。

图 4 刚度转变控制的断裂机制。不同连接水平下断裂机制的示意图。颜色代表微观属性,而每一行代表宏观状态(即柔性、刚性或应力刚性状态)。
总之,本研究研究了控制铝硅酸盐玻璃中韧性到脆性转变的潜在机制。从 TCT 的角度来看,本研究的结果证明应力-刚性团簇的渗流是导致断裂能随成分急剧下降的原因,而刚性团簇渗流导致断裂能异常。本研究发现观察到的韧性到脆性转变可以从内聚力(即连通性增加)和重排(即连通性降低)之间的竞争来理解。当达到至佳折衷时,可以获得优化的断裂能量。这种优化情况的结构特征可以在组成窗口中找到,在该窗口中,刚性簇在任何应力刚性簇渗透之前开始渗透系统。本研究设想这一发现可以指导设计具有更高抗断裂性的新型氧化物玻璃。此外,通过磁化率和四点相关函数分析,本研究发现刚性原子网络的渗流控制着磁化率的演变和塑性事件的动态长度。至显着的动力学异质性可以在刚性系统中实现,其中连通性足够低以允许重新排列并且足够高以能够将应力转移到相邻原子。这一结果为宏观延展性、机械应力驱动的动态异质性和玻璃的网络连通性之间的联系提供了新的见解。





